Set homepage
|
Add Collection
Contac hotline:
+86-755-
28289789
Hello, welcome to Huizhou Lianchang Electronics Co., Ltd!
Home
Produtcs
Product Center Details
News
About Us
Contact Us
Message
English
简体中文
Home
>>
TVS Diode
>>
P4SMA Series
Product Center Details
Contact Us
Service email
wsfpcffc@163.com
产品中心
Product list
FPC connector
FFC Flexible cable
BTB connector
Wafer connector
Wire to Board connector
PIN Header connector
USB Type-c FEMALE
TVS Diode
18
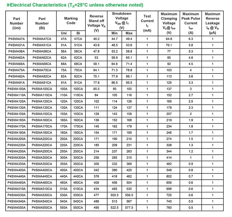
P4SMA Series
Publish time 2023-07-08 20:17
P4SMA Series
Product information
上一个:
P6SMB Series
下一个:
6SMAJ6.5CA